刚刚!美国宣布加息这12条干货你必须知道!
美联储宣布上调联邦基金利率目标区间25个基点,至1%-1.25%,正式启动年内第二次加息!
缩表的最终上限为美国国债300亿美元,住房抵押贷款支持证券(MBS)为200亿美元。缩表的起步上限为每个月100亿美元。
根据华尔街见闻的消息,加息公布后,黄金跌破1260关口,抹平日内全部涨幅且跌幅不断扩大;美股三大指数全线下跌,纳斯达克指数下跌0.65%至6179.6;美债收益率普遍大跌,美国10年期基准国债收益率跌6.9个基点,至2.1377%,一度跌至2016年11月10日以来低点2.103%。
美联储加息一直被视为2017年世界最大的不确定性事件,从2014年10月开始,美联储终结了长达6年的量化宽松政策;紧着2015年12月开始启动第一次加息;随后2016年、2017年分别进行了1次和2次加息!
在这段时间里,先后发生了阿根廷、阿塞拜疆、巴西、委内瑞拉、哈萨克斯坦、埃及等国家的货币!
美联储加息是上调联邦基金利率,原来是0.75%~1%,现在是1%~1.25%,美国联邦基金利率是美国的基准利率,即美联储借钱给银行的利率。而中国的加息是上调商业银行存贷款利率,即商业银行吸收存款或者发放贷款的利率。
美国之所以把联邦基金利率(美联储-银行)视为基准利率,那是因为它们是一个非常崇尚市场化的国家,一般不会通过行政化手段直接干预市场利率。
联邦基金利率上调后,美国银行向美联储的借钱成本增加,最后导致银行提高给个人、企业之间的贷款或存款利率,整个市场的利率上升!
1、在2008年全球金融危机以后,美国启动了大规模量化宽松政策,即降息+印美元,导致大量的美元流向市场,助推美股形成一波大牛市,2009年3月到现在,美股纳斯达克指数暴涨294%。但是另一方面,美国经济虽然在大水灌溉下有所起色,但远没有能够支撑美股大涨294%的地步(负债率高达300%),所以通过加息抑制美股上涨的节奏,防止过于虚高!

2、美联储多年的降息已经导致美国利率处于历史上的最低水平,下面是美国利率走势图:

利率越低,意味着工具箱里的工具越来越少,未来一旦发生金融危机,将会非常被动,所以美联储利用目前经济稍向好的契机缓慢加息(失业率一般是评判经济好坏的重要指标,目前美国失业率4.3%,是非常低的水平)。
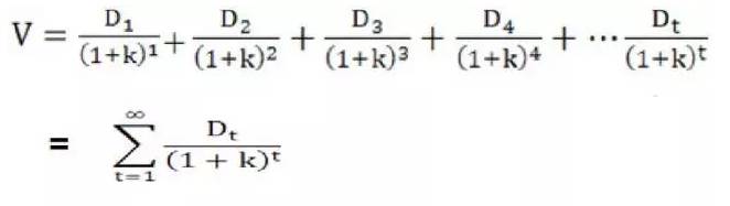
美联储加息后导致市场利率上升→股票、债券必要收益率上升→股票、债券价格下降,它们的具体影响如下:

从公式中可以看出,Dt固定的情况下,V和K成反比例关系,即K(市场利率)越大,V越小,即股价越低。
C代表的是债券的利息(固定的),F代表的是债券的面值(固定的),r是指必要收益率(市场利率可以作为参考的必要收益率),P是债券的价格。
从上面公式我们可以看出,债券的价格和债券的市场利率是成反比例关系的,也即:r(市场利率)越大,则P越小。
美元是世界上第一大货币,在2014年底美元占全球货币支付市场超过62%,同时美元也是世界主要央行的储备资产。美联储作为美元的印钞机构,它的角色类似于全世界的“央行”,所以美联储加息影响的不只是美国,还有全世界!
为了应对美联储加息,过去央行采用的办法一般是同步加息,比如2016年12月15日美联储宣布第二次加息,2017年1月24日央行即把中期借贷便利(MLF)操作利率(央行-商业银行之间的借钱利率)提高10个基点到3.1%;
还有2017年3月16日美国宣布第三次加息,几个小时后,中国央行又上调7天、14天和28天的逆回购利率10个基点(央行-商业银行之间的借钱利率)。
央行同步上调利率主要是为了防止美国加息后,中美之间的利差缩小,资金外流,美国这次加息后,未来央行继续上调MLF、逆回购利率的可能性仍然很大,但相比过去,上调利率的紧迫感相比历次要低,因为目前6月份中国仍然享有利率优势,比如中国目前10年期国债收益率是3.58%,美国是2.2%。债券利差扩大到了近140个基点,而在3月份第3次加息时还不到90个基点。
现在市场预计,美国年内缩表的概率非常大,如果美国加息,辅之以缩表,那么意味着美国全面紧缩的货币政策开始到来!
小白在4月22日《揭秘:央行是如何印钱的?》一文中说过(微信公众号:小白读财经可查看):中国的印钞方式和美国的不同,美国是通过缩表、扩表收回或印出美元,美国缩表意味着收回市场上的美元,2008年开始美联储用美元向市场购买了国债、MBS(关于房子的债券),总共大约有3.8万亿美元,导致市场上的美元越来越多,市场流动性泛滥。现在美国缩表的意思是用国债、MBS换美元,减少市场上的美元数量。
2、美联储缩表不仅使市场上的美元变少,同时在固定的物价水平下,美元变少将会使美元变得越来越贵,所以缩表影响更大!
美国的正常利率是3%左右,现在是1%~1.25%,如果按照每次0.25%的加息幅度,未来至少还有8次加息,持续时间至少要到2019年年底才结束!
按惯例,美联储每年都会举行八次会议,也称FOMC会议,会议主要讨论重大的货币政策,比如美联储加息、缩表等。加不加息往往就在八次会议里决定,2017年美联储还有4次议息会议,分别是:
9月会议日期为9月19日-20日,本次会后将公布经济预期,美联储主席也将举行新闻发布会
12月会议日期为12月12日-13日,本次会后将公布经济预期,美联储主席也将举行新闻发布会。
理论上说,美联储加息,意味着美元更贵,同等金额美元所能买到的商品更多,即美国购买力上升,在中国购买力是没变的情况下,人民币是需要贬值的!
但是理论上会贬值并不代表实际上会贬值,根本原因是美国一直向中国施压,为此美国特朗普还不惜动用贸易手段,如果人民币贬值就和中国打贸易战,为此我们看到了近期发生的一些事:
美联储加息对中国楼市主要有两方面的影响:一是楼市资金外流;二是市场利率上升,比如近期的首套房、二套房利率都有不同程度的上升,历史上看当贷款基准利率上升到6%左右,房价往往会下跌。

总的来说,美联储加息对中国楼市是相对利空的,但是还不足以刺破楼市泡沫,在中国一二线城市限贷、限购、限售的大背景下,钱不容易流出。更何况,中国经济对房地产的依赖度接近30%,如果房地产倒了,对谁都不利!
A股向来是任性,虽然美股今年大牛,但A股往往是跟跌不跟涨,今年的A股仍然是按照自己的步伐走。关于今年的A股小白在自己的微信公众号:小白读财经,已经有多篇文章分析过,未来A股行情主要看两点:
猜你喜欢
- 12-07AICoin壮大耐心资本 助力培育新
- 10-16AICoin国际清算银行报告:“专
- 04-16AICoinDeFi 40峥嵘初现:主权金融
- 05-05AICoin圆桌|数字金融走向分布
- 12-07AICoin科技投资的魅力与魅惑 十
- 11-14AICoin2024 年数字化员工体验报告
- 12-07AICoin证券时报刊文:投资别炒
- 11-23AICoin三星One UI 7推出:终止De
- 05-24AICoinDeFi 灵活布局+代币收益连
